Image
Image Image

Movimiento Parabolico

El movimiento parabólico es un tipo de movimiento en el que el cuerpo en cuestión forma una trayectoria parabólica, entre su característica más resaltante, tenemos que el cuerpo está sometido siempre a la fuerza de gravedad, por esa razon el movimiento es siempre parabólico, y por tanto, a efectos de estudio de movimiento, la trayectoria estaría definida por una componente horizontal y una vertical.

Tomando la velocidad inicial(V0) que es un aspecto crucial del estudio del movimiento, esta al ser un vector tiene componentes, la componente vertical y la componente horizontal, claro, cada punto de la trayectoria tiene una componente vertical y horizontal, a excepción del punto en el que la altura sea maxima, donde el vector es totalmente la componente horizontal.

Por tanto V0 tiene:

La componente horizontal de V0 V0x = V0 * cos α

La componente vertical de V0 V0y = V0 * sen α

Hay que destacar que movimiento parabólico es que se trata de la combination de dos movimientos que son el MUR (Movimiento uniforme rectilíneo) y la caída libre, teniendo en cuente estos aspectos, las ecuaciones para distintos puntos de la trayectoria posterior al punto vector inicial V0, tenemos:

Componente horizontal para puntos diferentes al inicio

Como en el eje horizontal el movimiento es uniforme rectilíneo, el valor es:

Vx= V0 * cos α

En el eje y, al ser caida libre se consideran la fuerza de gravedad que afecta en todo momento al objeto:

Vy= V0 * sen α – gt

Es to nos deja que para calcular la velocidad en un instante cualquiera

tendremos que usar el teorema de pit agoras pues es la forma de vincular las dos componentes horizontal y vertical

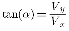
Hay que tener en cuenta la velocidad tiene una dirección, lo que quiere decir es que en el movimiento parabólico hay un ángulo α (alpha) y como la velocidad siempre forma un ángulo con la horizontal, tenemos una tangente del ángulo horizontal:

Pero no solo es lo anterior, se trata de obtener también el desplazamiento que hace el objeto o cuerpo, pero el desplazamiento tiene como componente horizontal y vertical al igual que la velocidad, hay que calcular en su respectivo elemento.

Desplazamiento en x

En el componente horizontal la velocidad es constante lo que significa que la ecuación toma la forma:

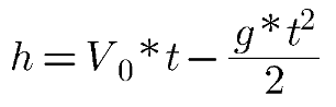
Desplazamiento en y

En este caso por accion de gravedad dirigido hacia abajo, y teniendo en cuenta la ecuacion de altura de caida libre:

ya que V0y=V0 * sen α, entonces la ecuación del desplazamiento en y(que era h en caida libre) sera:

Tiempo máximo

Al igual que en tiro vertical, el tiempo máximo es el tiempo que tarda un objeto en llegar a la maxima altura. Como Vy = V0y – gt, se define para un tiempo máximo:

ya Vy es cero en la altura maxima para el tiempo máximo:

Despejamos para t máximo obtenemos:

pero V0y= V0 * sen α

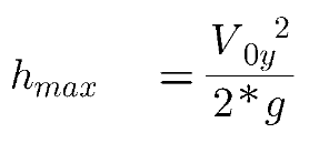
Altura maxima

La altura maxima está dada por:

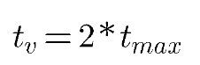
Tiempo de Vuelo

Esta dado por:

Alcance Horizontal

Leave a comment

Your email address will not be published. Required fields are marked *